

목차
서울 관악구 신림동 일대 재개발 사업장이 일반분양 모집에 들어갑니다.
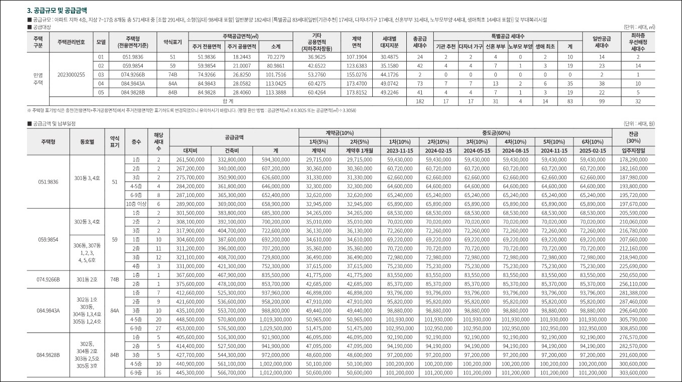
전체 571세대 중 182세대를 일반분양 모집할 예정입니다.
단지 정보, 분양가, 청약일정 등을 확인해보겠습니다.
1. 사업개요

위치
서울특별시 관악구 신림동 316-62번지 일대
건축규모
지하 4층, 지상 7~17층 8개동
입주시기
2025년 5월 (예정)
주택타입
51타입 / 59타입 / 74B 타입 / 84A 타입 / 84B 타입
2. 입지정보

교통환경
서울대벤처타운역 푸르지오 현재 입지보다 향후 전망을 보고 계약을 고려해보는것이 바람직할듯 합니다.
서울대 벤처타운역을 도보 20분대로 이용할수 있다고 하니 역세권 단지라고 보기는 어렵습니다.
다만 자차 이동으로는 강남순환고속도, 제2 경인고속도로 이용 하기가 편리하여 차량으로 이동시 교통편은 나쁘지 않습니다.
향후 다른 단지들의 개발이 본격화되면서 교통편은 개선될 전망 입니다.
교육환경
단지 바로 앞 신우초등학교가 위치하고 있어 어린자녀를 키우는 부모님들께는 괜찮은 선택지가 될것 같습니다.
이외 광신중.고, 미림여고 등도 멀지않은 거리에 위치하고 있고 서울대, 경인교대 등이 배후에 위치하고 있습니다.
편의시설
현재 개발중인 지역이므로 단지 주변에 편의시설은 크게 내새울것은 없습니다.
향후 뉴타운 개발이 진행되면서 편의시설 등도 같이 늘어날 예정이지만 지금 당장은 불편함이 있을 수 있습니다.
3. 단지배치도 / 커뮤니티


단지 배치도는 남동향, 남서향 으로 이루어져 있으며, 정남향으로 배치된 동들도 있습니다.
관악산 숲조망이 가능한 호실들이 있으나 조합원들이 많은 배정을 받아 고층은 힘들듯 싶습니다.
위 동.호수 표에 흰색으로 표시된 부분은 조합원 배정물량이니 청약시 참고하시면 좋을것 같습니다.
4. 평면도





5. 분양가


51타입 분양가
최저 594,300,000원 ~ 최고 658,900,000 원
(발코니 확장비 18,663,000원)
59타입 분양가
최저 685,300,000원 ~ 최고 752,300,000원
(발코니 확장비 20,505,000원)
74B 타입 분양가
최저 835,500,000원 ~ 최고 853,700,000원
(발코니 확장비 26,425,000원)
84A 타입 분양가
최저 937,960,000원 ~ 최고 1,029,500,000원
(발코니 확장비 27,273,000원)
84B 타입 분양가
최저 921,190,000원 ~ 최고 1,012,000,000원
(발코니 확장비 28,215,000원)
6. 분양일정

특별공급 : 7월 3일
일반공급 1순위 : 7월 4일
일반공급 2순위 : 7월 5일
당첨자발표 : 7월 11일
계약체결 : 7월 24일~26일
7. 요약정리

이제는 수도권 분양가 84타입 10억 시대가 열렸습니다.
서울벤처타운역 푸르지오 모델하우스는 강남구 영동대로 337 번지에 위치하고 있습니다.
전매 제한 1년, 거주의무는 없습니다. 당첨자는 가점 40%, 추첨 60%으로 선정을 합니다.
현재 보다 미래가 기대가 되는 신림 뉴타운입니다. 언제가 될지 알 수는 없지만 신림 1~2구역 정비가 끝난다면 생활 인프라는 상당히 좋아질 듯합니다.
하지만 현재 상황에서 주변시세 대비하여 안전마진은 거의 없다고 보는것이 좋을것 같습니다.
다만 향후 개발가능성이 높은 지역이므로 청약자 분들의 신중한 판단이 필요합니다.